堆是计算机科学中一类特殊的数据结构的统称,通常是一个可以被看做一棵完全二叉树的数组对象。而堆排序是利用堆这种数据结构所设计的一种排序算法。本文将详细介绍堆的实现和堆排序,需要的可以参考一下
一、本章重点
- 堆的介绍
- 堆的接口实现
- 堆排序
二、堆
2.1堆的介绍
一般来说,堆在物理结构上是连续的数组结构,在逻辑结构上是一颗完全二叉树。
但要满足
- 每个父亲节点的值都得大于孩子节点的值,这样的堆称为大堆。
- 每个父亲节点的值都得小于孩子节点的值,这样的堆称为小堆。
那么以下就是一个小堆。
百度百科:
堆的定义如下:n个元素的序列{k1,k2,ki,…,kn}当且仅当满足下关系时,称之为堆。
若将和此次序列对应的一维数组(即以一维数组作此序列的存储结构)看成是一个完全二叉树,则堆的含义表明,完全二叉树中所有非终端结点的值均不大于(或不小于)其左、右孩子结点的值。由此,若序列{k1,k2,…,kn}是堆,则堆顶元素(或完全二叉树的根)必为序列中n个元素的最小值(或最大值)。

下面序列是堆的是( )。
A.97,56,38,66,23,42,12 //不是大堆也不是小堆,即不是堆。
B.23,86,48,3,35,39,42 //不是大堆也不是小堆,即不是堆。
C.05,56,20,23,40,38,29 //不是大堆也不是小堆,即不是堆。
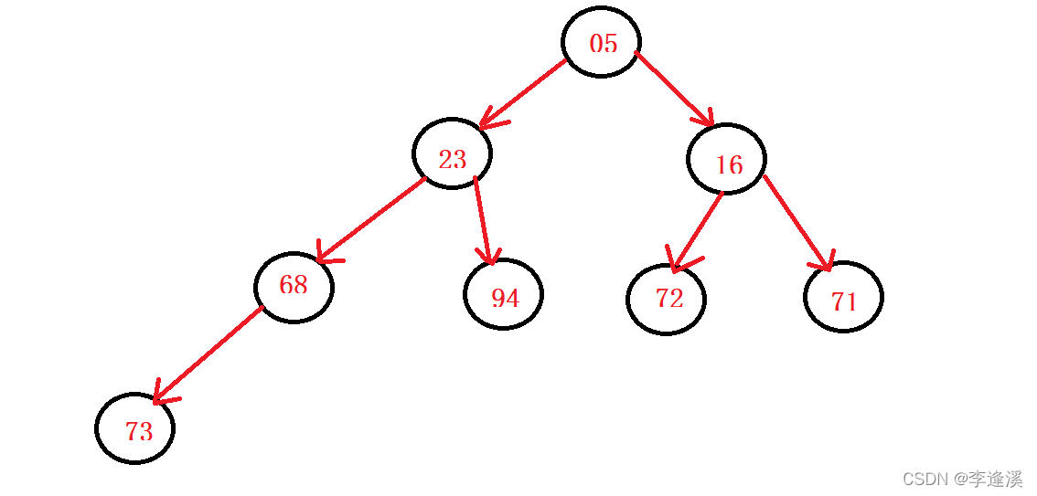
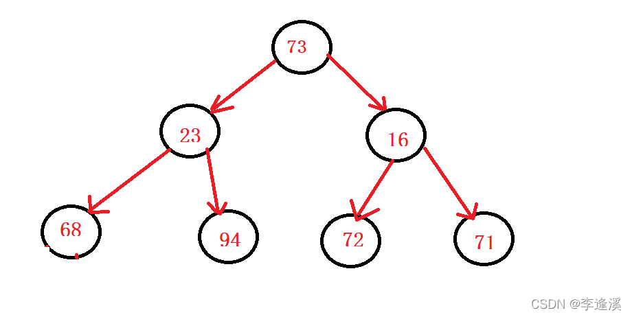
D.05,23,16,68,94,72,71,73 //是小堆
只有D是堆而且是小堆,因此答案选D。
D的逻辑结构:

父亲节点和孩子节点的数组下标有以下关系:
- left_child=(parent+1)*2
- right_child=(parent+2)*2
- parent=(child-1)/2(这里的child左孩子和右孩子都适用)
以上就不做证明了,不过我们可以验证一下,以上图D的逻辑结构为例,16的parent下标是2,72的下标是5,71的下标是6,满足left_child=(parent+1)*2、right_child=(parent+2)*2、parent=(child-1)/2。
有序一定是堆,堆不一定有序。
同时堆顶的数组是整个数组最大的数或者整个数组最小的数。
2.2堆的接口实现
第一件事我们就是要创建堆,实际就是创建一个数组,这里用动态数组。
typedef int HPDataType;
typedef struct Heap
{
HPDataType* a;
size_t size;
size_t capacity;
}HP;堆创建好之后,我们需要对它进行初始化。
第一个接口:
void HeapInit(HP* php);轻车熟路,将堆中的a置为NULL,size和capacity置为0。
或者这里可以设置capacity不为0的初始值也是可以的。
参考代码:
void HeapInit(HP* php)
{
assert(php);
php->a = NULL;
php->size = php->capacity = 0;
}我们对堆进行初始化之后,也要在最后销毁堆。
第二个接口:
void HeapDestroy(HP* php)销毁堆,即销毁一个动态数组
参考代码:
void HeapDestroy(HP* php)
{
assert(php);
free(php->a);
php->a = NULL;
php->size = php->capacity = 0;
}现在我们可以考虑往堆中插入数据了,要求插入新元素之后还是堆。
第三个接口:
void HeapPush(HP* php, HPDataType x)堆没有要求在哪个位置插入新元素,可以在任意的位置插入新元素,但要保证插入新元素之后还是堆。
由于数组在头部还是在中间位置的插入复杂度是O(N),并且插入后不一定是堆了。
因此我们考虑的是直接在数组尾部插入新元素,然后用一个函数去调整数组的顺序使得它还是一个堆。
那么核心代码就是这个调整算法。
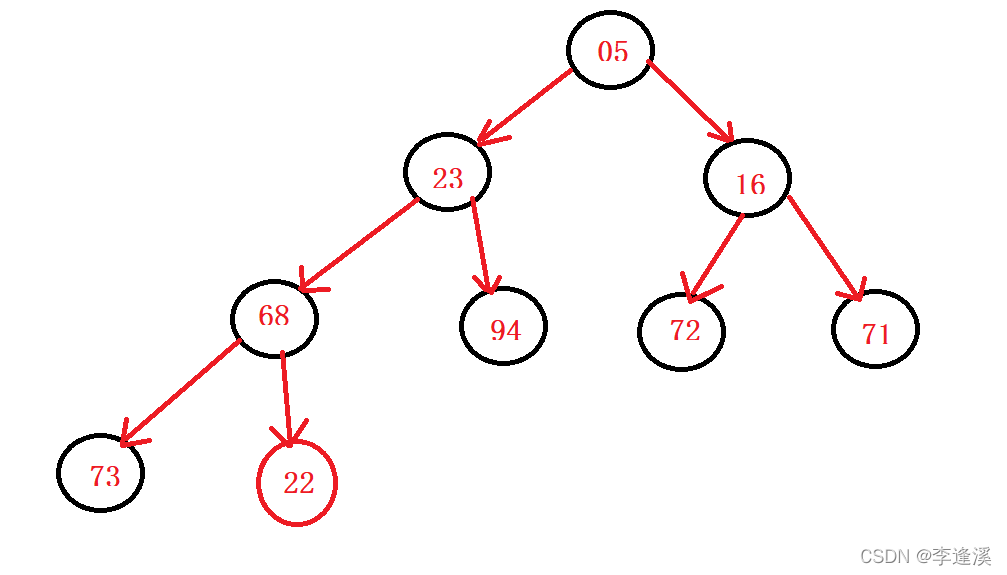
先来看这一个堆,插入新元素后该如何进行调整。

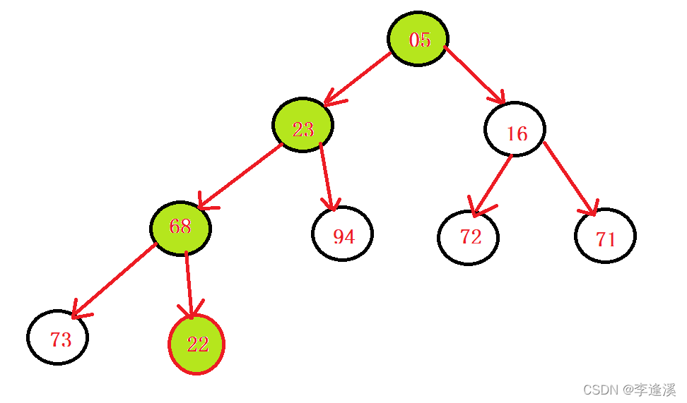
我们在数组的最后插入22,原堆是一个小堆,此时我们需要从下往上去调整各个父亲节点,使得该堆还是一个小堆。
换句话说:我们只需要调整下面有彩色的节点顺序。

交换过程:如果孩子节点小于父亲节点,那么将它们交换,然后迭代。
如果孩子节点大于父亲节点就跳出循环。
迭代过程:将父亲节点的下标赋值给孩子节点的下标,然后重新计算父亲节点的下标,计算方法:parent=(child-1)/2。
参考代码:
void AdjustUp(HPDataType* a, size_t child)
{
size_t parent = (child - 1) / 2;
while (child > 0)
{
//如果孩子小于父亲,则交换
if (a[child] < a[parent])
{
Swap(&a[child], &a[parent]);
child = parent;
parent = (child - 1) / 2;
}
//孩子大于父亲,则结束调整
else
{
break;
}
}
}void HeapPush(HP* php, HPDataType x)
{
assert(php);
//动态数组,空间不够要扩容
if (php->size == php->capacity)
{
size_t newCapacity = php->capacity == 0 ? 4 : php->capacity * 2;
HPDataType* tmp = realloc(php->a, sizeof(HPDataType)* newCapacity);
if (tmp == NULL)
{
printf("realloc failed\n");
exit(-1);
}
php->a = tmp;
php->capacity = newCapacity;
}
//尾插数据
php->a[php->size] = x;
++php->size;
// 向上调整,控制保持是一个小堆
AdjustUp(php->a, php->size - 1);
}上面是多个数据的插入,那么如果插入第一个数据,这个函数还能帮助我们把数据插入堆中吗?
答案是肯定的。
既然有Push数据到堆,自然有从堆中删除元素了。
这里的删除不同于栈和队列的删除,这里指的是将堆顶的数据删除,删除之后堆还是一个堆。为什么只实现删堆顶的数据,因为简单实用,这个接口是为后面的堆排序做准备的。
第四个接口:
void HeapPop(HP* php)思路比较简单:将数组第一个元素删除,然后保持它还是一个小堆。
怎么删除第一个数据呢?
这里的考虑是将数组第一个元素和数组最后一个交换,交换之后尾删掉最后一个元素,达成删除第一个元素的效果,复杂度是O(N),这里可以提一下,这种头删的方式是改变了数组元素的相对顺序的。
删除之后我们要做调整,使得堆还是小堆。
那么怎么调整呢?
以下是一个小堆

头删之后

如何调整它,使得它还是一个小堆?
这里的思路是:向下调整算法,首先parent=73,然后选出它子节点最小的值,然后它们之间交换,交换之后,将子节点看作新的父亲节点,继续向下调整,直到父亲节点的左孩子不存在。
参考代码:
void AdjustDown(HPDataType* a, size_t size, size_t root)
{
size_t parent = root;
size_t child = parent * 2 + 1;
while (child < size)
{
// 1、选出左右孩子中小的那个
if (child + 1 < size && a[child+1] < a[child])
{
++child;
}
// 2、如果孩子小于父亲,则交换,并继续往下调整
if (a[child] < a[parent])
{
Swap(&a[child], &a[parent]);
parent = child;
child = parent * 2 + 1;
}
else
{
break;
}
}
}这里需要注意的是,为什么循环的结束条件不是右孩子不存在呢?
因为右孩子不存在时,也可能要进行交换。
比如:

还需要注意的是左孩子存在右孩子不一定存在
if (a[child+1] > a[child])
{
++child;
}直接这样写a[child+1]可能会越界,因此要加上child + 1 < size,保证child + 1 <= size-1。
参考代码:
void HeapPop(HP* php)
{
assert(php);
assert(php->size > 0);
//将数组第一个元素和最后一个元素交换然后删除最后一个元素,达到头删的目的。
Swap(&php->a[0], &php->a[php->size - 1]);
--php->size;
//向下调整算法
AdjustDown(php->a, php->size, 0);
}其他接口补充:
由于比较简单,理解起来不费劲,因此这里直接给出。
参考代码:
bool HeapEmpty(HP* php)//判断堆是否为空
{
assert(php);
return php->size == 0;
}
size_t HeapSize(HP* php)//堆的元素个数
{
assert(php);
return php->size;
}
HPDataType HeapTop(HP* php)//取堆顶数据
{
assert(php);
assert(php->size > 0);
return php->a[0];
}三、堆排序
堆排序:利用堆顶节点是整个数组的最大值或者最小值的特点,可以达到排序的目的。
比如我们要将1、5、2、4、8、6、10排成升序
可以将这几个元素依次入堆,使得这些数据变成小堆。
然后我们可以取堆的第一个元素,它是整个数组最小的元素,要排升序,那么我们就需要将它排在第一个位置,然后删除堆顶元素,由于我们的删除接口的作用是:删除堆顶元素,并保持堆还是小堆,那么我们调用删除接口之后,再取堆顶元素,将它排在第二个位置,依次继续下去,我们就能将这些数据排成升序了。

参考代码:
void HeapSort(int* a, int size)
{
HP hp;
HeapInit(&hp);
//建小堆
for (int i = 0; i < size; ++i)
{
HeapPush(&hp, a[i]);
}
//不断取堆顶元素进行排序
size_t j = 0;
while (!HeapEmpty(&hp))
{
a[j] = HeapTop(&hp);
j++;
HeapPop(&hp);
}
//销毁堆,防止内存泄露
HeapDestroy(&hp);
}这里的堆排序的空间复杂度是O(N),因为在堆区开辟了一个N个元素大小的堆空间。
堆排序看起来挺复杂的,那么它的时间复杂度是什么呢?
建小堆:0(N)
HeapPop()一次执行的是:头删堆顶元素(O(1)),然后依次向下比较,比较的次数是高度次,因为是完全二叉树,比较的时间复杂度是O(logN)。
因此执行一次HeapPop的时间复杂度是O(logN)。
那么不断取堆顶元素进行排序,取了N个元素,调用了N次HeapPop(),时间复杂度是O(N*logN)。
总的时间复杂度是O(N)+O(N*logN),当N很大时,加的O(N)可以忽略。
实际时间复杂就是:O(N*logN)
空间复杂度:O(N)
那么堆排序的时间复杂度是O(N*logN)。
相比于冒泡排序的O(N*N)。
堆排序显然效率更高。
如果N等于100万,冒泡要执行1万亿次,而堆排序执行2千万次,效率可想而知!
到此这篇关于C语言数据结构二叉树之堆的实现和堆排序详解的文章就介绍到这了,更多相关C语言 堆排序内容请搜索编程学习网以前的文章希望大家以后多多支持编程学习网!
本文标题为:C语言数据结构二叉树之堆的实现和堆排序详解
基础教程推荐
- g++: const 丢弃限定符 2022-10-07
- 纯C++代码详解二叉树相关操作 2023-05-15
- C语言植物大战数据结构二叉树递归 2023-04-09
- C语言数组长度的计算方法实例总结(sizeof与strlen) 2023-04-26
- C语言的三种条件判断语句你都了解吗 2023-03-05
- VisualStudio2010安装教程 2023-01-05
- character-encoding – Linux中最常见的C语言编码(和Unix?) 2023-11-21
- 05-C语言进阶——动态内存管理 2023-11-20
- 利用QT设计秒表功能 2023-05-30
- Qt数据库应用之实现通用数据库请求 2023-03-18
