洛伦兹吸引子(Lorenzattractor)是由MIT大学的气象学家EdwardLorenz在1963年给出的。本文将利用Matlab实现洛伦兹吸引子相图的绘制,感兴趣的可以了解一下
洛伦兹吸引子(Lorenz attractor)是由MIT大学的气象学家Edward Lorenz在1963年给出的,他给出第一个混沌现象——蝴蝶效应。。。。。。。。废话不多说。
反正咱就是,好看且有用咱就写代码,第零部分给出公式。第一部分给出 混沌吸引子 图像,第二部分给出庞加莱截面法 分岔图 绘制。
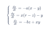
1.公式及Lorenz函数
Lorenz微分方程组定义如下:

非常容易能写出该微分方程组函数:
function dL=Lorenz(t,L)
% L=[x;y;z;a;r;b];
% dL=[dx/dt;dy/dt;dz/dt;0,0,0];
% dz/dt=-a*(x-y)
% dy/dt=x*(r-z)-y
% dz/dt=x*y-b*z
dL=zeros([6,1]);
dL(1)=-L(4)*(L(1)-L(2));
dL(2)=L(1)*(L(5)-L(3))-L(2);
dL(3)=L(1)*L(2)-L(6)*L(3);
dL(4:6)=0;
end2.混沌吸引子图像
基础绘图:
[~,L]=ode45(@(t,L)Lorenz(t,L),0:.01:100,[1;1;1;10;28;8/3]);
plot3(L(:,1),L(:,2),L(:,3))
grid on
修饰动态图:
% ode45求解
[~,L]=ode45(@(t,L)Lorenz(t,L),0:.01:100,[1;1;1;10;28;8/3]);
% 修饰及属性设置
ax=gca;
hold on;grid on
plhdl=plot3(0,0,0,'Color',[0.9843 0.8588 0.5333 0.5],'LineWidth',1.3);
ax.XColor=[1,1,1].*.6;ax.XLim=[-20,20];
ax.YColor=[1,1,1].*.6;ax.YLim=[-30,30];
ax.ZColor=[1,1,1].*.6;ax.ZLim=[0,50];
ax.LineWidth=1.5;
ax.GridAlpha=.09;
ax.GridLineStyle='-.';
ax.FontName='cambria';
ax.Color=[0 0 0];
ax.DataAspectRatio=[1,1,1];
view([-159,18]);
% 循环绘图
for i=1:size(L,1)
plhdl.XData=L(1:i,1);
plhdl.YData=L(1:i,2);
plhdl.ZData=L(1:i,3);
drawnow
end
3.混沌吸引子图像
基本代码:
这里使用庞加莱截面法,即绘制y=x平面上|y|的图像,基本代码如下:
Z=[];
for r=1:500
% 舍弃前面迭带的结果,用后面的结果画图
[~,L]=ode45(@(t,L)Lorenz(t,L),[0,1],[1;1;1;10;r;8/3]);
[T,L]=ode45(@(t,L)Lorenz(t,L),[0,50],L(end,:));
D=L(:,2)-L(:,1);
for k2=2:size(L,1)
k1=k2-1;
if D(k1)*D(k2)<=0
y=(L(k2,1).*L(k1,2)-L(k1,1).*L(k2,2))./(D(k2)-D(k1));
Z=[Z,r+abs(y').*1i];
end
end
end
plot(Z,'.','markersize',1)
title('Lorenz映射分岔图')
xlabel('r'),ylabel('|y| where x=y')
代码有一些地方详细讲解一下,首先说明为什么要用
Z=[Z,r+abs(y').*1i];的格式进行存储,这样存储可以少构造一个数组,一般情况下我们需要分别存储γ和|y|到两个矩阵,存储为复数形式就可以复平面绘图减少初始化矩阵数量。
其次代码中用了D(k1)*D(k2)<=0来判断是否采点,
D(k1)=x1-y1,D(k2)=x2-y2
当D(k1)*D(k2)<=0时说明(x1,y1),(x2,y2)两点分别在 y=x直线两侧。
另外说明一下:
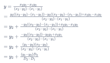
y=(L(k2,1).*L(k1,2)-L(k1,1).*L(k2,2))./(D(k2)-D(k1));是啥。
其实就是构造的两点连线与直线y=x的交点:

PS:为了进一步减少空间复杂度,我们可以将上述函数更改为完全由x,y差值以及y代替,这样就可以直接将中间变量D存储到原来x的位置,减少中间变量的数量:

因此代码可以改写为(当然为了可读性最后并没有采取这个策略hiahiahia):
L(:,1)=L(:,2)-L(:,1);
for k2=2:size(L,1)
k1=k2-1;
if L(k1,1)*L(k2,1)<=0
y=L(k2,2)+(L(k1,2)-L(k2,2)).*L(k2,1)./(L(k2,1)-L(k1,1));
Z=[Z,r+abs(y').*1i];
end
end最后,这部分代码依赖循环我们完全可以将其向量化,即修改为:
Z=[];
for r=1:500
% 舍弃前面迭带的结果,用后面的结果画图
[~,L]=ode45(@(t,L)Lorenz(t,L),[0,1],[1;1;1;10;r;8/3]);
[T,L]=ode45(@(t,L)Lorenz(t,L),[0,50],L(end,:));
% 找到穿过直线y=x的前后两个点
D=L(:,2)-L(:,1);
logInd=D(2:end).*D(1:end-1)<=0;
k1=[logInd;false];k2=[false;logInd];
% 对找到的两个点进行插值
y=(L(k2,1).*L(k1,2)-L(k1,1).*L(k2,2))./(D(k2,:)-D(k1,:));
Z=[Z,r+abs(y').*1i];
end
plot(Z,'.','markersize',1)
title('Lorenz映射分岔图')
xlabel('r'),ylabel('|y| where x=y')4.封面图绘制
fig=gcf;
% 左图
ax1=axes('Parent',fig);
ax1.Position=[1/12 1/12 1/2-1/6 1-1/6];
hold on;grid on
[~,L]=ode45(@(t,L)Lorenz(t,L),0:.01:100,[1;1;1;10;28;8/3]);
plot3(L(:,1),L(:,2),L(:,3),'Color',[0 0.2510 0.4510 0.5],'LineWidth',1.2)
ax1.XColor=[1,1,1].*.6;
ax1.YColor=[1,1,1].*.6;
ax1.ZColor=[1,1,1].*.6;
ax1.LineWidth=1.5;
ax1.GridAlpha=.09;
ax1.GridLineStyle='-.';
ax1.FontName='cambria';
ax1.DataAspectRatio=[1,1,1];
view([-159,18]);
% 右图
ax2=axes('Parent',fig);
ax2.Position=[1/2 1/12 1/2-1/18 1-1/6];
hold on;grid on
Z=[];
for r=1:500
% 舍弃前面迭带的结果,用后面的结果画图
[~,L]=ode45(@(t,L)Lorenz(t,L),[0,1],[1;1;1;10;r;8/3]);
[T,L]=ode45(@(t,L)Lorenz(t,L),[0,50],L(end,:));
% 找到穿过直线y=x的前后两个点
D=L(:,2)-L(:,1);
logInd=D(2:end).*D(1:end-1)<=0;
k1=[logInd;false];k2=[false;logInd];
% 对找到的两个点进行插值
y=L(k2,2)+(L(k1,2)-L(k2,2)).*D(k2,:)./(D(k2,:)-D(k1,:));
Z=[Z,r+abs(y').*1i];
end
plot(Z,'.','markersize',1,'Color',[0 0.2510 0.4510 0.5])
ax2.YLabel.String='|y| where x=y';
ax2.YLabel.FontSize=14;
ax2.XColor=[1,1,1].*.4;
ax2.YColor=[1,1,1].*.4;
ax2.ZColor=[1,1,1].*.4;
ax2.LineWidth=1.5;
ax2.GridAlpha=.09;
ax2.GridLineStyle='-.';
ax2.FontName='cambria';
% Lorenz函数
function dL=Lorenz(t,L)
% L=[x;y;z;a;r;b];
% dL=[dx/dt;dy/dt;dz/dt;0,0,0];
% dz/dt=-a*(x-y)
% dy/dt=x*(r-z)-y
% dz/dt=x*y-b*z
dL=zeros([6,1]);
dL(1)=-L(4)*(L(1)-L(2));
dL(2)=L(1)*(L(5)-L(3))-L(2);
dL(3)=L(1)*L(2)-L(6)*L(3);
dL(4:6)=0;
end
以上就是基于Matlab绘制洛伦兹吸引子相图的详细内容,更多关于Matlab洛伦兹吸引子相图的资料请关注编程学习网其它相关文章!
本文标题为:基于Matlab绘制洛伦兹吸引子相图
基础教程推荐
- C语言数组长度的计算方法实例总结(sizeof与strlen) 2023-04-26
- 纯C++代码详解二叉树相关操作 2023-05-15
- 利用QT设计秒表功能 2023-05-30
- VisualStudio2010安装教程 2023-01-05
- character-encoding – Linux中最常见的C语言编码(和Unix?) 2023-11-21
- 05-C语言进阶——动态内存管理 2023-11-20
- C语言植物大战数据结构二叉树递归 2023-04-09
- g++: const 丢弃限定符 2022-10-07
- C语言的三种条件判断语句你都了解吗 2023-03-05
- Qt数据库应用之实现通用数据库请求 2023-03-18
