这篇文章主要为大家详细介绍了C语言实现简易的扫雷小游戏,文中示例代码介绍的非常详细,具有一定的参考价值,感兴趣的小伙伴们可以参考一下
这是一个用C语言实现的控制台扫雷小游戏,实现了随机布置炸弹、扫描炸弹、标记炸弹、百分百第一次不被炸死等功能。
编译器:vs2015
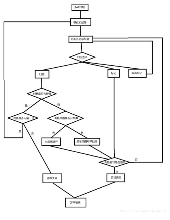
功能模块图

源代码
#include<stdio.h>
#include<stdlib.h>
#include<time.h>
void show(int cbd[10][10],int u[10][10]) //界面输出函数
{
int i, j;
//for (i = 0; i < 10; i++) //输出全部炸弹信息(上帝视角,调试用)
//{
// for (j = 0; j < 10; j++)
// {
// printf("%2d ", cbd[i][j]);
// }
// printf("\n");
/
沃梦达教程
本文标题为:C语言实现简易的扫雷小游戏
基础教程推荐
猜你喜欢
- VisualStudio2010安装教程 2023-01-05
- 纯C++代码详解二叉树相关操作 2023-05-15
- C语言数组长度的计算方法实例总结(sizeof与strlen) 2023-04-26
- 利用QT设计秒表功能 2023-05-30
- g++: const 丢弃限定符 2022-10-07
- Qt数据库应用之实现通用数据库请求 2023-03-18
- C语言的三种条件判断语句你都了解吗 2023-03-05
- 05-C语言进阶——动态内存管理 2023-11-20
- character-encoding – Linux中最常见的C语言编码(和Unix?) 2023-11-21
- C语言植物大战数据结构二叉树递归 2023-04-09
