这篇文章主要介绍了C++如何将二叉搜索树转换成双向循环链表(双指针或数组),具有很好的参考价值,希望对大家有所帮助。如有错误或未考虑完全的地方,望不吝赐教
二叉搜索树转换成双向循环链表

本文解法基于性质:二叉搜索树的中序遍历为 递增序列 。
将二叉搜索树 转换成一个 “排序的循环双向链表”,其中包含三个要素:
1.排序链表:节点应从小到大排序,因此应使用 中序遍历
2.“从小到大”访问树的节点。双向链表:在构建相邻节点的引用关系时,设前驱节点 pre 和当前节点 cur ,
不仅应构建 pre.right= cur,也应构建 cur.left = pre 。
3.循环链表:设链表头节点 head 和尾节点 tail,则应构建 head.left = tail 和 tail.right = head 。
双指针:
class Solution {
private:
Node* head, * pre = NULL;
public:
Node* treeToDoublyList(Node* root) {//双指针做法
if (!root) return NULL;
inorder(root);
head->left = pre;
pre->right = head;
return head;
}
void inorder(Node* root)
{
if (root == NULL)return;
inorder(root->left);
root->left = pre;
if (pre)
pre->right = root;
else head = root;
pre = root;
inorder(root->right);
}
};
数组方法:很简单就不做介绍了,就是先把节点都放进数组然后在建立联系。
Node* treeToDoublyList(Node* root) {
if (!root) return NULL;
vector<Node*> nodelist;
inorder(nodelist, root);
int l = nodelist.size();
if (l == 1)
{
nodelist[0]->right = nodelist[0];
nodelist[0]->left = nodelist[0];
return nodelist[0];
}
for (int i = 1; i < l - 1; i++) {
nodelist[i]->left = nodelist[i - 1];
nodelist[i]->right = nodelist[i + 1];
}
nodelist[0]->left = nodelist[l - 1];
nodelist[0]->right = nodelist[1];
nodelist[l - 1]->right = nodelist[0];
nodelist[l - 1]->left = nodelist[l - 2];
return nodelist[0];
}
void inorder(vector<Node*>& nodelist, Node* root)
{
if (root == NULL)return;
inorder(nodelist, root->left);
nodelist.push_back(root);
inorder(nodelist, root->right);
}
二叉搜索树与双向链表(C++中等区)
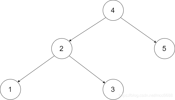
题目:输入一棵二叉搜索树,将该二叉搜索树转换成一个排序的循环双向链表。要求不能创建任何新的节点,只能调整树中节点指针的指向。
为了让您更好地理解问题,以下面的二叉搜索树为例:

我们希望将这个二叉搜索树转化为双向循环链表。链表中的每个节点都有一个前驱和后继指针。对于双向循环链表,第一个节点的前驱是最后一个节点,最后一个节点的后继是第一个节点。
下图展示了上面的二叉搜索树转化成的链表。“head” 表示指向链表中有最小元素的节点。

特别地,我们希望可以就地完成转换操作。当转化完成以后,树中节点的左指针需要指向前驱,树中节点的右指针需要指向后继。还需要返回链表中的第一个节点的指针。
解题思路
本文解法基于性质:二叉搜索树的中序遍历为 递增序列 。
将 二叉搜索树 转换成一个 “排序的循环双向链表” ,其中包含三个要素:
- 排序链表:节点应从小到大排序,因此应使用 中序遍历 “从小到大”访问树的节点;
- 双向链表:在构建相邻节点(设前驱节点 pre ,当前节点 cur )关系时,不仅应 pre.right =cur,也应 cur.left = pre 。
- 循环链表:设链表头节点 head 和尾节点 tail ,则应构建 head.left = tail, 和 tail.right = head 。

代码展示
代码如下:
class Solution {
public:
Node* treeToDoublyList(Node* root) {
if(!root) return NULL;
mid(root);
//进行头节点和尾节点的相互指向,这两句的顺序也是可以颠倒的
head->left=pre;
pre->right=head;
return head;
}
void mid(Node* cur)
{
if(!cur) return;
mid(cur->left);
//pre用于记录双向链表中位于cur左侧的节点,即上一次迭代中的cur,当pre==null时,cur左侧没有节点,即此时cur为双向链表中的头节点
if(pre==NULL) head=cur;
//反之,pre!=null时,cur左侧存在节点pre,需要进行pre.right=cur的操作。
else pre->right=cur;
//pre是否为null对这句没有影响,且这句放在上面两句if else之前也是可以的。
cur->left=pre;
//pre指向当前的cur
pre=cur;
//全部迭代完成后,pre指向双向链表中的尾节点
mid(cur->right);
}
private:
Node* head,*pre;
};
- 执行用时:8 ms, 在所有 C++ 提交中击败了95.27%的用户
- 内存消耗:7.3 MB, 在所有 C++ 提交中击败了81.16%的用户
以上为个人经验,希望能给大家一个参考,也希望大家多多支持编程学习网。
本文标题为:C++如何将二叉搜索树转换成双向循环链表(双指针或数组)
基础教程推荐
- C语言植物大战数据结构二叉树递归 2023-04-09
- C语言数组长度的计算方法实例总结(sizeof与strlen) 2023-04-26
- VisualStudio2010安装教程 2023-01-05
- 纯C++代码详解二叉树相关操作 2023-05-15
- 利用QT设计秒表功能 2023-05-30
- 05-C语言进阶——动态内存管理 2023-11-20
- character-encoding – Linux中最常见的C语言编码(和Unix?) 2023-11-21
- Qt数据库应用之实现通用数据库请求 2023-03-18
- g++: const 丢弃限定符 2022-10-07
- C语言的三种条件判断语句你都了解吗 2023-03-05
