在之前的文章里,我们学习的一直是一对一的线性结构,可现实中,还有很多一对多的情况需要处理,所以我们需要研究这样一种一对多的数据结构——树
树
树的定义
Q:什么是树
A:树是一种 非线性 的数据结构,它是由 n ( n>=0 )个有限结点组成一个具有层次关系的集合。把它叫做树是因为它看起来像一棵倒挂的树,也就是说它是根朝上,而叶朝下的。
Q:树有什么特点
有一个特殊的结点,称为根结点,根节点没有前驱结点。
除根节点外,其余结点被分成M(M>0)个互不相交的集合T1、T2、……、Tm,其中每一个集合Ti(1<= i <= m)又是一棵结构与树类似的子树。每棵子树的根结点有且只有一个前驱,可以有0个或多个后继。
树是递归定义的

对于树的定义还需要强调两点:
当n>0时,根结点是唯一的,不可能存在多个根结点。数据结构中的树是只能有一个根结点。
当m>0时,子树的个数没有限制,但它们一定是互不相交的。像下图中的结构就不符合树的定义,因为它们都有相交的子树。


树的名词解释

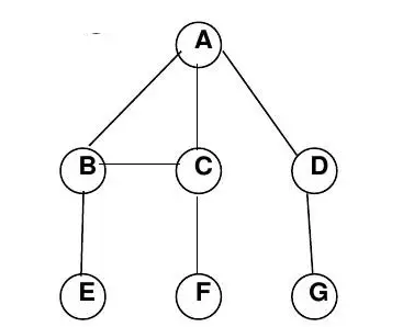
节点的度:一个节点含有的子树的个数称为该节点的度; 如上图:A的为3
叶节点:度为0的节点称为叶节点; 如上图:I,G,K,G,L,M节点为叶节点
非终端节点或分支节点:度不为0的节点; 如上图:B、D、C、E、F等节点为分支节点
双亲节点或父节点:若一个节点含有子节点,则这个节点称为其子节点的父节点; 如上图:A是B的父节点
孩子节点或子节点:一个节点含有的子树的根节点称为该节点的子节点; 如上图:B是A的孩子节点
兄弟节点:具有相同父节点的节点互称为兄弟节点; 如上图:B、C是兄弟节点
树的度:一棵树中,最大的节点的度称为树的度; 如上图:树的度为3
节点的层次:从根开始定义起,根为第1层,根的子节点为第2层,以此类推
树的高度或深度:树中节点的最大层次; 如上图:树的高度为4
节点的祖先:从根到该节点所经分支上的所有节点;如上图:A是所有节点的祖先
子孙:以某节点为根的子树中任一节点都称为该节点的子孙。如上图:所有节点都是A的子孙
森林:由m棵互不相交的树的集合称为森林
树的表示
树的存储结构
说到存储结构,自然就会想到我们前面讲过的顺序存储和链式存储两种结构。
顺序存储结构:树中某个结点的孩子可以有多个,若将树中所有结点存储到数组中,结点的存储位置无法直接反应其逻辑关系,因此:简单的顺序存储结构是不能满足树的实现要求的
链式存储结构:链式存储结构的特点,完全可以实现对树的存储结构的表示。
表示方式:实际中树有很多种表示方式, 如:双亲表示法,孩子表示法、孩子兄弟表示法等等。我们这里就简单的了解其中最常用的孩子兄弟表示法。
代码演示
typedef int DataType;
struct Node
{
struct Node* _firstChild1; // 第一个孩子结点
struct Node* _pNextBrother; // 指向其下一个兄弟结点
DataType _data; // 结点中的数据域
};图像演示

二叉树的概念及结构
二叉树的概念
Q:什么是二叉树
A:二叉树是 n 个结点的有限集合。该集合或者为空集(空二叉树)或者由一个根结点和两棵互不相交的,分别称为根结点的左子树和右子树的二叉树组成。
Q:二叉树有什么特点
每个结点最多有两棵子树,二叉树不存在度大于2的结点。左子树和右子树是有顺序的,次序不能任意颠倒。即使树中某结点只有一棵子树,也要区分左子树还是右子树。
Q:二叉树有什么基本形式
空二叉树只有一个根节点根节点只有左子树根节点只有右子树根节点既有左子树又有右子树
Q:特殊的二叉树有哪些
(1)满二叉树:在一颗二叉树中,如果所有分支结点都存在左子树和右子树,并且所有叶子都在同一层上,这样的二叉树称为满二叉树。如果一个二叉树的层数为K,且结点总数是(2^k) -1 ,则它就是满二叉树。

(2)完全二叉树:对于一颗具有 n 个结点的二叉树按层序编号,如果编号为i(1<=i<=n)的结点与同样深度的满二叉树中编号为i的结点在二叉树中的位置完全相同,则称这棵二叉树为完全二叉树。满二叉树是一种特殊的完全二叉树。

二叉树的性质
性质一:在二叉树的第 i 层上至多有2^(i-1) 个结点。
性质二:深度为 k 的二叉树至多有2^(k)-1个结点。
性质三:对任何一棵二叉树, 如果度为0,其叶结点个数为 n0, 度为2的分支结点个数为 n2,则有n0=n2 + 1。
性质四:具有 n 个结点的完全二叉树的深度为

性质五:对于具有 n 个结点的完全二叉树,如果按照从上至下从左至右的数组顺序对所有节点从 0 开始编号,则对于任意结点 i 有:
如果 i=1,则结点 i 是二叉树的根,无双亲;如果 i>1,则其双亲是结点 1/2
如果 2i>n,则结点 i无左孩子;否则其左孩子是结点2i
如果 2i<n,则结点 i无右孩子;否则其右孩子是结点2i+1
二叉树的存储结构
顺序存储结构
顺序结构存储就是使用数组来存储,一般使用数组只适合表示完全二叉树。因为不是完全二叉树会有空间的浪费。而现实中使用中只有堆才会使用数组来存储,二叉树顺序存储在物理上是一个数组,在逻辑上是一颗二叉树。


链式存储结构
二叉树每个结点最多有两个孩子,所以为它分配一个数据域和两个指针域是比较自然的想法,我们称这样的链表叫做二叉链表。结点结构如图:


代码演示
typedef int BTDataType;
struct BinaryTreeNode
{
struct BinTreeNode* _pLeft; // 指向当前节点左孩子
struct BinTreeNode* _pRight; // 指向当前节点右孩子
BTDataType _data; // 当前节点值域
}到此这篇关于C++超详细讲解树与二叉树的文章就介绍到这了,更多相关C++树与二叉树内容请搜索编程学习网以前的文章希望大家以后多多支持编程学习网!
本文标题为:C++超详细讲解树与二叉树
基础教程推荐
- Qt数据库应用之实现通用数据库请求 2023-03-18
- VisualStudio2010安装教程 2023-01-05
- 纯C++代码详解二叉树相关操作 2023-05-15
- C语言植物大战数据结构二叉树递归 2023-04-09
- g++: const 丢弃限定符 2022-10-07
- 05-C语言进阶——动态内存管理 2023-11-20
- C语言数组长度的计算方法实例总结(sizeof与strlen) 2023-04-26
- C语言的三种条件判断语句你都了解吗 2023-03-05
- character-encoding – Linux中最常见的C语言编码(和Unix?) 2023-11-21
- 利用QT设计秒表功能 2023-05-30
