优先级队列是一种先进先出的数据结构,操作的数据带有优先级,这种数据结构就是优先级队列(PriorityQueue)。本文将详细讲讲Java优先级队列的用法,感兴趣的可以了解一下
概念
优先级队列是一种先进先出(FIFO)的数据结构,与队列不同的是,操作的数据带有优先级,通俗的讲就是可以比较大小,在出队列的时候往往需要优先级最高或者最低的元素先出队列,这种数据结构就是优先级队列(PriorityQueue)
PriorityQueue的使用
构造方法
这里只介绍三种常用的构造方法
| 构造方法 | 说明 |
| PriorityQueue() | 不带参数,默认容量为11 |
| PriorityQueue(int initialCapacity) | 参数为初始容量,该初始容量不能小于1 |
| PriorityQueue(Collection<? extends E> c) | 参数为一个集合 |
代码展示:
import java.util.ArrayList;
import java.util.List;
import java.util.PriorityQueue;
public class TestPriorityQueue {
public static void main(String[] args) {
PriorityQueue<Integer> p1 = new PriorityQueue<>(); //容量默认为11
PriorityQueue<Integer> p2 = new PriorityQueue<>(10); //参数为初始容量
List<Integer> list = new ArrayList<>();
list.add(0);
list.add(1);
list.add(2);
PriorityQueue<Integer> p3 = new PriorityQueue<>(list); //使用集合list作为参数构造优先
// 级队列
}
}
常用方法
| 方法 | 说明 |
| boolean offer(E e) | 插入元素e,返回是否插入成功,e为null,会抛异常 |
| E peek() | 获取堆(后面介绍堆)顶元素,如果队列为空,返回null |
| E poll() | 删除堆顶元素并返回,如果队列为空,返回null |
| int size() | 获取有效元素个数 |
| void clear() | 清空队列 |
| boolean isEmpty() | 判断队列是否为空 |
offer方法的测试
PriorityQueue<Integer> p = new PriorityQueue<>();
p.offer(1);
p.offer(2);
p.offer(3);
System.out.println(p.size());
p.offer(null);
打印结果:

1,2,3都正常插入,但是插入null的时候,报了NullPointerException空指针异常
peek与poll方法的测试
PriorityQueue<Integer> p = new PriorityQueue<>();
p.offer(1);
p.offer(2);
p.offer(3);
System.out.println(p.peek());
System.out.println(p.poll());
System.out.println(p.size());
p.clear();
System.out.println(p.peek());
System.out.println(p.poll());
打印结果:

默认是小堆,所以堆顶元素是1,获取到1,在删除1,剩余元素个数为两个,当队列为空的时候,这两个方法都返回null
size,isEmpty,clear方法的测试
PriorityQueue<Integer> p = new PriorityQueue<>();
p.offer(1);
p.offer(2);
p.offer(3);
System.out.println(p.size());
System.out.println(p.isEmpty());
p.clear();
System.out.println(p.isEmpty());
打印结果:

打印元素个数为3,所以不为空输出false,清空后,队列为空,输出true
注意事项
PriorityQueue中存放的元素必须能比较大小,不能比较大小的对象不能插入,会抛出ClassCastException异常
例如:向优先级队列中插入两个学生类型的数据
class Student {
private String name;
private int age;
public Student(String name, int age) {
this.name = name;
this.age = age;
}
}
public class Test {
public static void main(String[] args) {
Student s1 = new Student("张三",25);
Student s2 = new Student("李四",30);
PriorityQueue<Student> p = new PriorityQueue();
p.offer(s1);
p.offer(s2);
}
}
结果:报了类型转换异常的错误,因为student类型不能直接比较大小

如果想比较两个自定类型的大小,请参考Java中对象的比较这篇文章
- 不能插入null对象,否则会抛NullPointerException异常
- 内部可以自动扩容
- PriorityQueue底层使用堆数据结构
- PriorityQueue默认是小堆,如果想要创建大堆可以使用如下方式创建:
PriorityQueue<Integer> pq = new PriorityQueue<>(new Comparator<Integer>() {
@Override
public int compare(Integer o1, Integer o2) {
return o2-o1;
}
});
注意:o2-o1是创建大堆,o1-o2是创建小堆
PriorityQueue的扩容方式
以下是JDK1.8中扩容的方式:

说明:
- 如果容量小于64,按照oldCapacity的2倍扩容
- 如果容量大于等于64,按照oldCapacity的1.5倍扩容
- 如果容量超过MAX_ARRAY_SIZE,按照MAX_ARRAY_SIZE扩容
小试牛刀(最小k个数)
题目

方法:创建一个优先级队列,奖数组中的元素依次放入该优先级队列中,在依次从该优先级队列取出k个即可
class Solution {
public int[] smallestK(int[] arr, int k) {
int[] ret = new int[k];
if(k == 0 || arr.length==0){
return ret;
}
PriorityQueue<Integer> p = new PriorityQueue<>(arr.length);
for(int i = 0;i < arr.length;i++){
p.offer(arr[i]);
}
for(int i = 0;i < k;i++){
ret[i] = p.poll();
}
return ret;
}
}
堆的介绍
JDK1.8中PriorityQueue底层采用了堆数据结构,堆其实就是对完全二叉树的元素作出了一些调整
所谓堆就是将一组数据按照完全二叉树的顺序存储方式存储,保证每一个根结点元素大于它的孩子结点的元素(大根堆)或者小于它的孩子结点的元素(小根堆)
堆的性质
堆中某个结点的值总是不大于或着不小于其父节点的值
堆是一颗完全二叉树

堆的创建
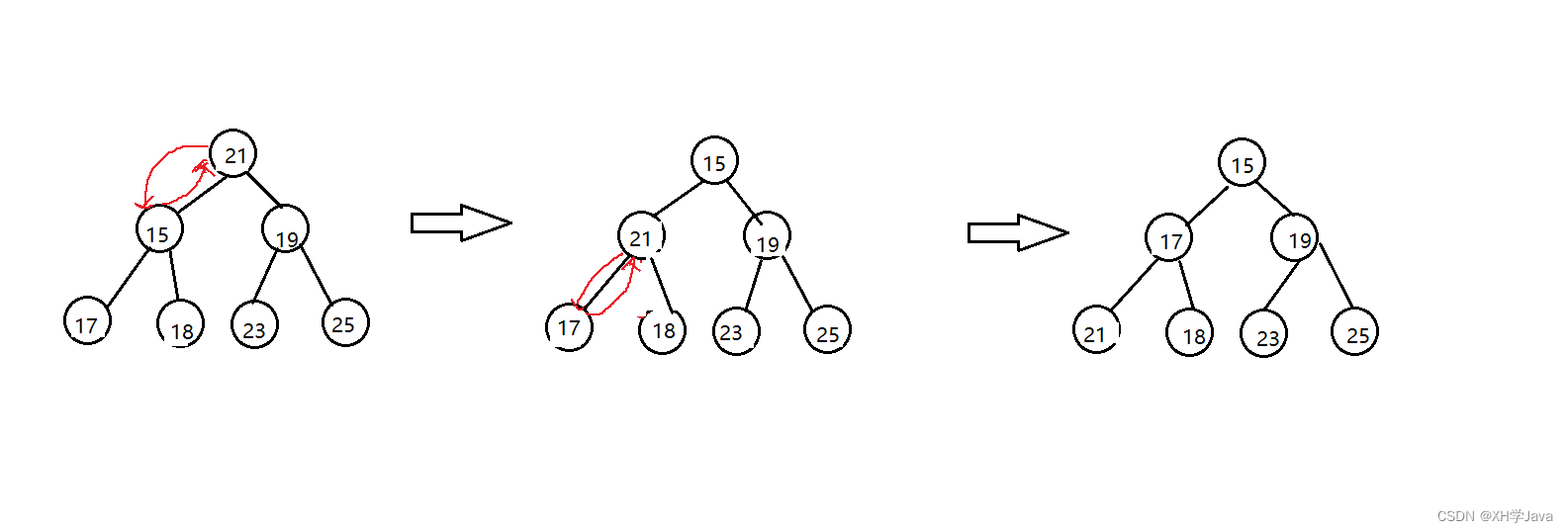
此处我们创建小堆,以21,15,19,17,18,23,25为例

发现上述序列根的左右子树都已经满足小堆的特性,故只需要将根结点向下调整即可
向下调整的过程:
1. 用parent标记要被调整的结点,child标记parent的左孩子
2. 如果左孩子存在,即child<size,size为序列元素的个数,进行以下操作,直到左孩子不存在
- 判断parent右孩子是否存在,如果存在让child标记两个孩子最小的孩子
- 如果parent小于child,则将parent与child标记的元素交换位置,如果parent大于child,说明此时已经满足小堆的特性
- 让parent=child,child=parent*2+1,循环步骤2,直到不满足步骤2的条件

代码展示:
public void shiftDown(int[] array,int parent){
int child = parent*2+1;
int size = array.length;
while(child < size){
if(child+1<size && array[child]>array[child+1]){
child = child+1;
}
if(array[parent] > array[child]){
swap(array,parent,child);
parent = child;
child = parent*2+1;
}else {
break;
}
}
}
注意:在调整以parent为根的二叉树时,必须满足parent的左右子树满足堆的特性,此时才能向下调整parent
时间复杂度分析:最坏情况从根比到叶子,比较的次数为二叉树的高度,故时间复杂度为O(log2N)
那么对于普通的序列如1,5,3,8,7,6,即根节点的左右子树不满足大堆的特性,该如何调整?
方法:从倒数第一个非叶子结点开始调整,直到调整到根

代码展示:
public void createHeap(int[] array){
int root = (array.length-2)>>1;
for(;root>=0;root--){
shiftDown(array,root);
}
}
创建堆的时间复杂度

故建堆的时间复杂度为O(N)
堆的插入
堆的插入分为两步:
- 将元素插入队列尾部,如果空间不够需要扩容
- 将新插入的结点向上调整,直到满足堆的特性
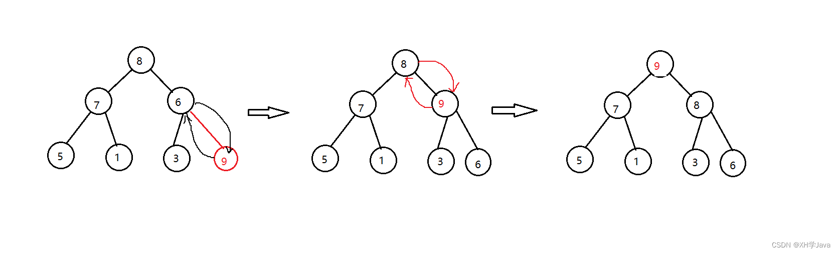
例如:给大堆8,7,6,5,1,3插入9

代码展示:
public void shiftUp(int[] array,int child){
int parent = (child-1)/2;
while(child > 0){
if(array[child] < array[parent]){
break;
}else {
swap(array,parent,child);
child = parent;
parent = (child-1)/2;
}
}
}
堆的删除
堆删除的是堆顶元素
删除步骤:
- 交换堆顶与堆最后一个元素的位置
- 将堆中的有效元素个数减少一个
- 将堆顶元素向下调整
代码展示:
public int poll(){
int oldVal = array[0];
array[0] = array[array.length-1];
size--;
shiftDown(array,0);
return oldVal;
}
优先级队列的模拟实现
此处用小堆实现优先级队列,并且队列中保存的元素为Integer类型
准备工作包括:构造方法,向上调整,向下调整,交换
public class MyPriorityQueue {
Integer[] array;
int size;
public MyPriorityQueue(){
array = new Integer[11];
size = 0;
}
public MyPriorityQueue(int initCapacity){
if(initCapacity < 1){
throw new IllegalArgumentException("初始容量小于1");
}
array = new Integer[initCapacity];
size = 0;
}
public MyPriorityQueue(Integer[] arr){
array = new Integer[arr.length];
for(int i = 0;i < arr.length;i++){
array[i] = arr[i];
}
size = arr.length;
int lastLeafParent = (size-2)/2;
for(int root = lastLeafParent;root >= 0;root--){
shiftDown(root);
}
}
public void shiftDown(int parent){
int child = parent*2+1;
while(child < size){
if(child+1<size && array[child+1]<array[child]){
child = child+1;
}
if(array[parent] > array[child]){
swap(parent,child);
parent = child;
child = parent*2+1;
}else {
return;
}
}
}
public void shiftUp(int child){
int parent = (child-1)/2;
while(child > 0){
if(array[child] < array[parent]){
swap(child,parent);
child = parent;
parent = (child-1)/2;
}else {
return;
}
}
}
public void swap(int a,int b){
int t = array[a];
array[a] = array[b];
array[b] = t;
}
}
插入
public boolean offer(Integer e){
if(e == null){
throw new NullPointerException("插入的元素为null");
}
ensureCapacity();
array[size++] = e;
shiftUp(size-1);
return true;
}
private void ensureCapacity(){
if(array.length == size){
int newCapacity = array.length*2;
array = Arrays.copyOf(array,newCapacity);
}
}
注意:插入前需要判断是否扩容,此处扩容按照2倍方式扩容
删除
public Integer poll(){
if(isEmpty()){
return null;
}
Integer ret = array[0];
swap(0,size-1);
shiftDown(0);
return ret;
}
获取堆顶元素
public Integer peek(){
if(isEmpty()){
return null;
}
Integer ret = array[0];
return ret;
}
获取有效元素个数
public int size(){
return size;
}
判空
public boolean isEmpty(){
return size==0;
}
清空
public void clear(){
size = 0;
}
堆的应用
- PriorityQueue的实现,PriorityQueue底层采用堆数据结构实现的
- 堆排序,详见基本排序算法总结(Java实现)
- Top-k问题
Top-k问题
即求数据中前k个最大或者最小元素,一般情况下数据量都会比较大
如果数据量大使用排序那种方法就不可取了,那么如何解决呢?
1. 使用数据中前k个数据建堆
求前k个最大,建小堆
求前k个最小,建大堆
2. 用剩余的元素依次与堆顶元素比较
求前k个最大,若比堆顶元素大,则替换小堆堆顶元素
求前k个最小,若比堆顶元素小,则替换大堆堆顶元素
以上就是Java数据结构之优先级队列(PriorityQueue)用法详解的详细内容,更多关于Java优先级队列的资料请关注编程学习网其它相关文章!
本文标题为:Java数据结构之优先级队列(PriorityQueue)用法详解
基础教程推荐
- Java编写实现窗体程序显示日历 2023-01-02
- Java+mysql实现学籍管理系统 2023-03-16
- 使用Java和WebSocket实现网页聊天室实例代码 2024-02-25
- Java中EnvironmentAware 接口的作用 2023-01-23
- JSP 动态树的实现 2023-12-17
- springboot下使用shiro自定义filter的个人经验分享 2024-02-27
- 运用El表达式截取字符串/获取list的长度实例 2023-08-01
- JavaWeb 实现验证码功能(demo) 2024-04-14
- 是否适合从javabean类更新数据库? 2023-11-04
- 深入理解约瑟夫环的数学优化方法 2024-03-07
